
Chemical Entity Data Page
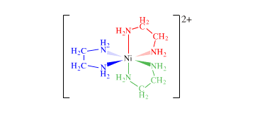
[Ni(en)3]2+ Nickel(II) tris(ethylenediamine) ion Tris(ethylenediamine)nickel(II) ion |
||||||||||
[Ni(en)3]2+
|
||||||||||
|
Real ion. Gram formula weight (molecular mass) = 238.98 The nickel(II) tris(ethylenediamine) complex ion is a thermodynamically stable chelate complex. |
|||||||||
![]() |
Nickel(II) tris(ethylenediamine) ion is defined with respect to the entities below: |
The
entities below are defined with respect to: Nickel(II) tris(ethylenediamine) ion |
|||||
|
© Mark R. Leach 1999 –
Queries, Suggestions, Bugs, Errors, Typos...
If you have any:
Queries
Comments
Suggestions
Suggestions for links
Bug, typo or grammatical error reports about this page,please contact Mark R. Leach, the author, using mark@meta-synthesis.com