
Chemical Entity Data Page
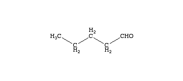
CH3CH2CH2CH2CHO Pentanal Valeraldehyde |
||||||||||
![]() |
||||||||||
|
Real, long lived, electronically neutral reagent chemical. Gram formula weight (molecular mass) = 86.132 Melting point = -92 °C Boiling point = 103 °C Solubility in organics = very soluble
|
|||||||||
![]() |
Pentanal is defined with respect to the entities below: |
The
entities below are defined with respect to: Pentanal |
|||
|
© Mark R. Leach 1999 –
Queries, Suggestions, Bugs, Errors, Typos...
If you have any:
Queries
Comments
Suggestions
Suggestions for links
Bug, typo or grammatical error reports about this page,please contact Mark R. Leach, the author, using mark@meta-synthesis.com