Chemical Entity Data Page
|
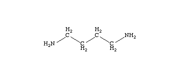
Butane-1,4-diamine 1,4-Diaminobutane H2NCH2CH2CH2CH2NH2 Putrescine |
||||||||||
|
|
||||||||||
|
Real, long lived, electronically neutral reagent chemical. Gram formula weight (molecular mass) = 88.151 Melting point = 27 °C Boiling point = 159 °C Solubility in organics = very soluble Has the smell of putrid, rotting flesh hence the name putrescine.
|
|||||||||
| |
|
1,4-Diaminobutane is defined with respect to the entities below: |
The
entities below are defined with respect to: 1,4-Diaminobutane |
|||||
|
© Mark R. Leach 1999 –
Queries, Suggestions, Bugs, Errors, Typos...
If you have any:
Queries
Comments
Suggestions
Suggestions for links
Bug, typo or grammatical error reports about this page,please contact Mark R. Leach, the author, using mark@meta-synthesis.com
