
Chemical Entity Data Page
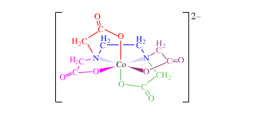
[Co(EDTA)]2- Cobalt(II) EDTA complex ion |
||||||||||||
[Co(EDTA)]3–
|
||||||||||||
|
Real ion. Gram formula weight (molecular mass) = 347.14 The cobalt(II) EDTA ion is a stable chelate complex. |
|||||||||||
![]() |
Cobalt(II) EDTA complex ion is defined with respect to the entities below: |
The
entities below are defined with respect to: Cobalt(II) EDTA complex ion |
|||||
|
© Mark R. Leach 1999 –
Queries, Suggestions, Bugs, Errors, Typos...
If you have any:
Queries
Comments
Suggestions
Suggestions for links
Bug, typo or grammatical error reports about this page,please contact Mark R. Leach, the author, using mark@meta-synthesis.com