
Chemical Entity Data Page
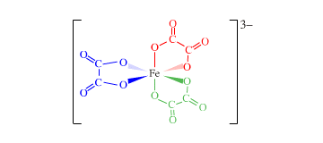
[Fe(C2O4)3]3- Iron(III) tris(ethanedioate) complex ion Tris(ethanedioate)iron(II) ion |
||||||||
[Fe(C2O4)3]3–
|
||||||||
|
Real ion. Gram formula weight (molecular mass) = 319.90 The iron(III) tris(ethanedioate) complex ion is a thermodynamically stable chelate complex. |
|||||||
![]() |
Iron(III) tris(ethanedioate) complex ion is defined with respect to the entities below: |
The
entities below are defined with respect to: Iron(III) tris(ethanedioate) complex ion |
|||||
|
© Mark R. Leach 1999 –
Queries, Suggestions, Bugs, Errors, Typos...
If you have any:
Queries
Comments
Suggestions
Suggestions for links
Bug, typo or grammatical error reports about this page,please contact Mark R. Leach, the author, using mark@meta-synthesis.com