
Chemical Entity Data Page
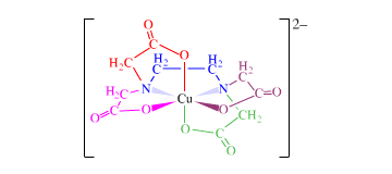
Copper(II) EDTA complex ion [Cu(EDTA)]2- |
||||||||||||
[Cu(EDTA)]2–
|
||||||||||||
|
Real ion. Gram formula weight (molecular mass) = 351.75 Copper(II) EDTA complex ion is a thermodynamically stable chelate complex. |
|||||||||||
![]() |
Copper(II) EDTA complex ion is defined with respect to the entities below: |
The
entities below are defined with respect to: Copper(II) EDTA complex ion |
|||||
|
© Mark R. Leach 1999 –
Queries, Suggestions, Bugs, Errors, Typos...
If you have any:
Queries
Comments
Suggestions
Suggestions for links
Bug, typo or grammatical error reports about this page,please contact Mark R. Leach, the author, using mark@meta-synthesis.com