
Chemical Entity Data Page
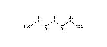
CH3CH2CH2CH2CH2CH2CH3 Heptane |
||||||
![]() |
||||||
|
Real, long lived, electronically neutral reagent chemical. Gram formula weight (molecular mass) = 100.20 Melting point = -91 °C Boiling point = 98 °C Density = .684 g/cm3 |
|||||
![]() |
Heptane is defined with respect to the entities below: |
The
entities below are defined with respect to: Heptane |
|||||
|
© Mark R. Leach 1999 –
Queries, Suggestions, Bugs, Errors, Typos...
If you have any:
Queries
Comments
Suggestions
Suggestions for links
Bug, typo or grammatical error reports about this page,please contact Mark R. Leach, the author, using mark@meta-synthesis.com