Chemical Entity Data Page
|
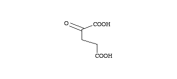
Alpha-ketoglutaric acid 2-Oxopentanedioic acid |
||||||||||
|
|
||||||||||
|
Real, long lived, electronically neutral reagent chemical. Gram formula weight (molecular mass) = 146.09 Melting point = 113.5 °C Purity = 99 % Solubility in organics = soluble
|
|||||||||
| |
|
Alpha-ketoglutaric acid is defined with respect to the entities below: |
The
entities below are defined with respect to: Alpha-ketoglutaric acid |
||||
|
© Mark R. Leach 1999 –
Queries, Suggestions, Bugs, Errors, Typos...
If you have any:
Queries
Comments
Suggestions
Suggestions for links
Bug, typo or grammatical error reports about this page,please contact Mark R. Leach, the author, using mark@meta-synthesis.com
