Chemical Entity Data Page
|
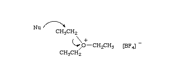
(CH3CH3)3OBF4 Et3OBF4 Oxonium, triethyl tetrafluoroborate Triethyloxonium tetrafluoroborate |
||||||||||||||
|
[Et3O]+[BF4]–
|
||||||||||||||
|
Real, long lived, electronically neutral reagent chemical. Gram formula weight (molecular mass) = 189.98 Purity = 99 % Solubility in organics = soluble Normally prepared and used in situ in diethyl ether. Commercially available as a 1.0 M solution in CH2Cl2.
|
|||||||||||||
| |
|
Triethyloxonium tetrafluoroborate is defined with respect to the entities below: |
The
entities below are defined with respect to: Triethyloxonium tetrafluoroborate |
|||||
|
© Mark R. Leach 1999 –
Queries, Suggestions, Bugs, Errors, Typos...
If you have any:
Queries
Comments
Suggestions
Suggestions for links
Bug, typo or grammatical error reports about this page,please contact Mark R. Leach, the author, using mark@meta-synthesis.com
