
Chemical Entity Data Page
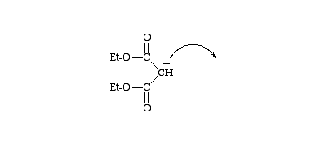
Carbanion, diethyl malonate Diethyl malonate carbanion |
||||||||
![]() |
||||||||
|
Real ion. Gram formula weight (molecular mass) = 159.15 |
|||||||
![]() |
Diethyl malonate carbanion is defined with respect to the entities below: |
The
entities below are defined with respect to: Diethyl malonate carbanion |
||||
|
© Mark R. Leach 1999 –
Queries, Suggestions, Bugs, Errors, Typos...
If you have any:
Queries
Comments
Suggestions
Suggestions for links
Bug, typo or grammatical error reports about this page,please contact Mark R. Leach, the author, using mark@meta-synthesis.com