Chemical Entity Data Page

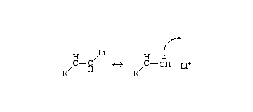
Alkenyl lithium (generic)
  Electronically neutral generic.





Alkenyl lithium (generic)
is defined with respect to the entities below:
The entities below are defined with respect to:
Alkenyl lithium (generic)
trans Alkene (generic)


Carbanion (generic)


Lobe-HOMO Lewis base (generic)


Type 7 Lewis acid/base complex (generic)


Type 8 Lewis acid/base complex (generic)


Vinyl anion (generic)


© Mark R. Leach 1999 –


Queries, Suggestions, Bugs, Errors, Typos...

If you have any:

Queries
Comments
Suggestions
Suggestions for links
Bug, typo or grammatical error reports about this page,

please contact Mark R. Leach, the author, using mark@meta-synthesis.com